
City
of hobart
AGENDA
Planning Authority Committee Meeting
Open Portion
Wednesday, 22 January 2025
at 4.00 pm
Council Chamber, Town Hall
Working together to make Hobart a better place for the community.
THE VALUES
The Council is:
|
People |
We care about people – our community, our customers and colleagues. |
|
Teamwork |
We collaborate both within the organisation and with external stakeholders drawing on skills and expertise for the benefit of our community. |
|
Focus and Direction |
We have clear goals and plans to achieve sustainable social, environmental and economic outcomes for the Hobart community. |
|
Creativity and Innovation |
We embrace new approaches and continuously improve to achieve better outcomes for our community. |
|
Accountability |
We are transparent, work to high ethical and professional standards and are accountable for delivering outcomes for our community. |
|
|
Agenda (Open Portion) Planning Authority Committee Meeting |
Page 3 |
|
|
22/1/2025 |
|
Business listed on the agenda is to be conducted in the order in which it is set out, unless the committee by simple majority determines otherwise.
APOLOGIES AND LEAVE OF ABSENCE
2. Consideration of Supplementary Items
3. Indications of Pecuniary and Conflicts of Interest
5. Planning Authority Items - Consideration of Items With Deputations
6. Committee Acting as Planning Authority
6.1 Applications under the Sullivans Cove Planning Scheme 1997
6.1.1 50 Macquarie Street Hobart - Signage
6.2 Applications under the Hobart Interim Planning Scheme 2015
6.2.1 479 Sandy Bay Road, Sandy Bay - Signage
6.2.2 9 Star Street, Sandy Bay - Visitor Accommodation (12 Units)
7.1 Delegated Decisions Report (Planning)
7.2 Planning Advertising Report
8. Responses to Questions Without Notice
8.1 Planning Committee - 28 August 2024
8.2 Sandy Bay Campus Re-Zoning
10. Closed Portion Of The Meeting
|
|
Agenda (Open Portion) Planning Authority Committee Meeting |
Page 6 |
|
|
22/1/2025 |
|
Planning Authority Committee Meeting (Open Portion) held Wednesday, 22 January 2025 at 4.00 pm in the Council Chamber, Town Hall.
The title Chief Executive Officer is a term of reference for the General Manager as appointed by Council pursuant s.61 of the Local Government Act 1993 (Tas).
|
APPOINTED MEMBERS Councillor M Dutta (Chairperson) Lord Mayor Councillor A M Reynolds Deputy Lord Mayor Cr Dr Z E Sherlock Councillor W F Harvey Councillor R Posselt Councillor B Lohberger Councillor G Kitsos
NOMINEE MEMBERS Alderman M Zucco Councillor J Kelly Councillor L Elliot Alderman L Bloomfield Councillor W Coats
|
Apologies:
Leave of Absence: Nil
|
|
The minutes of the Open Portion of the Planning Authority Committee meeting held on Wednesday, 4 December 2024 and the Special Planning Authority Committee meeting held on Wednesday, 8 January 2025, are submitted for confirming as an accurate record.
|
Ref: Part 2, Regulation 8(6) of the Local Government (Meeting Procedures) Regulations 2015.
|
That the Committee resolve to deal with any supplementary items not appearing on the agenda, as reported by the Chief Executive Officer.
|
Ref: Part 2, Regulation 8(7) of the Local Government (Meeting Procedures) Regulations 2015.
Members of the Committee are requested to indicate where they may have any pecuniary or conflict of interest in respect to any matter appearing on the agenda, or any supplementary item to the agenda, which the Committee has resolved to deal with.
Regulation 15 of the Local Government (Meeting Procedures) Regulations 2015.
A Committee may close a part of a meeting to the public where a matter to be discussed falls within 15(2) of the above regulations.
In the event that the Committee transfer an item to the closed portion, the reasons for doing so should be stated.
Are there any items which should be transferred from this agenda to the closed portion of the agenda, or from the closed to the open portion of the agenda?
In accordance with the requirements of Part 2 Regulation 8(3) of the Local Government (Meeting Procedures) Regulations 2015, the Chief Executive Officer is to arrange the agenda so that the planning authority items are sequential.
In accordance with Part 2 Regulation 8(4) of the Local Government (Meeting Procedures) Regulations 2015, the Committee by simple majority may change the order of any of the items listed on the agenda, but in the case of planning items they must still be considered sequentially – in other words they still have to be dealt with as a single group on the agenda.
Where deputations are to be received in respect to planning items, past practice has been to move consideration of these items to the beginning of the meeting.
RECOMMENDATION
That in accordance with Regulation 8(4) of the Local Government (Meeting Procedures) Regulations 2015, the Committee resolve to deal with any items which have deputations by members of the public regarding any planning matter listed on the agenda, to be taken out of sequence in order to deal with deputations at the beginning of the meeting.
In accordance with the provisions of Part 2 Regulation 25 of the Local Government (Meeting Procedures) Regulations 2015, the intention of the Committee to act as a planning authority pursuant to the Land Use Planning and Approvals Act 1993 is to be noted.
In accordance with Regulation 25, the Committee will act as a planning authority in respect to those matters appearing under this heading on the agenda, inclusive of any supplementary items.
The Committee is reminded that in order to comply with Regulation 25(2), the Chief Executive Officer is to ensure that the reasons for a decision by a Council or Council Committee acting as a planning authority are recorded in the minutes.
|
Agenda (Open Portion) Planning Authority Committee Meeting |
Page 8 |
|
|
|
22/1/2025 |
|
6.1 Applications under the Sullivans Cove Planning Scheme 1997
6.1.1 50 Macquarie Street Hobart - Signage
Address: 50 Macqurie Street, Hobart
Proposal: Signage
Expiry Date: 22 January 2025
Extension of Time: Not applicable
Author: Michaela Nolan
|
REcommendation Pursuant to the Sullivans Cove Planning Scheme 1997, the Council approve the application for Signage at 50 Macquarie Street, Hobart for the reasons outlined in the officer’s report and a permit containing the following conditions be issued:
GEN - General The use and/or development must be substantially in accordance with the documents and drawings that comprise PLN-HOB-2024-0485 - 50 MACQUARIE ST HOBART TAS 7000 - Final Planning Documents except where modified below.
THC - General The use and/or development must comply with the requirements of the Tasmanian Heritage Council as detailed in the Notice of Heritage Decision, THC Works Ref: 8506 dated 7 January 2025, as attached to the permit.
HER 15 - Heritage - Signs The location of Sign 2 is not approved and revised plans showing a placement and orientation that does not obscure the inscribed foundation stone from public views within Davey Street or Argyle Street. Prior to the commencement of work on the site, revised plans must be submitted and approved as a condition endorsement showing the sign in accordance with the above requirement. All work required by this condition must be undertaken in accordance with the approved revised plans. ADVICE The following advice is provided to you to assist in the implementation of the planning permit that has been issued subject to the conditions above. The advice is not exhaustive and you must inform yourself of any other legislation, bylaws, regulations, codes or standards that will apply to your development under which you may need to obtain an approval. Visit the Council's website for further information. Prior to any commencement of work on the site or commencement of use the following additional permits/approval may be required from the Hobart City Council. CONDITION ENDORSEMENT If any condition requires that further documents are submitted and approved, you will need to submit the relevant documentation to satisfy the condition via the Condition Endorsement Submission through PlanBuild. Detailed instructions can be found [here](https://www.hobartcity.com.au/Development/Condition-endorsement). Once approved, the Council will respond to you via PlanBuild that the condition has been endorsed (satisfied). Where building approval is also required, it is recommended that documentation for condition endorsement be submitted well before submitting documentation for building approval. Failure to address condition endorsement requirements prior to submitting for building approval may result in unexpected delays. Fees for Condition Endorsement are set out in Council’s [Fees and Charges] (https://www.hobartcity.com.au/Council/Fees-and-charges). BUILDING PERMIT You may need building approval in accordance with the Building Act 2016. Click here for more information. This is a Discretionary Planning Permit issued in accordance with section 57 of the Land Use Planning and Approvals Act 1993.
|
Attachment a: PLN-HOB-2024-0485
- 50 MACQUARIE STREET HOBART Planning Committee Report
⇩ ![]()
Attachment
b: PLN-HOB-2024-0485
- 50 MACQUARIE ST HOBART TAS 7000 - Attachment B - Planning Committee Agenda
Documents ⇩ ![]()
Attachment
c: PLN-HOB-2024-0485
- 50 MACQUARIE ST HOBART TAS 7000 - Attachment C – Planning Referral
Officer Cultural Heritage Report ⇩
|
Item No. 6.1.1 |
Agenda (Open Portion) Planning Authority Committee Meeting - 22/1/2025 |
Page 10 ATTACHMENT a |


















|
Agenda (Open Portion) Planning Authority Committee Meeting - 22/1/2025 |
Page 1 ATTACHMENT b |


|
Agenda (Open Portion) Planning Authority Committee Meeting - 22/1/2025 |
Page 1 ATTACHMENT c |




|
Agenda (Open Portion) Planning Authority Committee Meeting |
Page 1 |
|
|
|
22/1/2025 |
|
6.2 Applications under the Hobart Interim Planning Scheme 2015
6.2.1 479 Sandy Bay Road, Sandy Bay - Signage
Address: 479 Sandy Bay Road, Sandy Bay
Proposal: Signage
Expiry Date: 7 February 2025
Extension of Time: Not applicable
Author: Richard Bacon
|
REcommendation Pursuant to the Hobart Interim Planning Scheme 2015, the Council approve the application for Signage at 479 SANDY BAY RD SANDY BAY TAS 7005 for the reasons outlined in the officer’s report and a permit containing the following conditions be issued: GEN
THC - General The use and/or development must comply with the requirements of the Tasmanian Heritage Council as detailed in the Notice of Heritage Decision, THC Works Ref: 8544 dated 17 December 2024, as attached to the permit. HER 3 - Heritage - Fabric
The 'Riverview House' sign and the 'Jet Service Station' sign on the building are to be retained in situ, conserved and repaired as necessary during works and subsequent uses.
Reason for condition
To ensure development at a heritage place is undertaken in a sympathetic manner which does not cause loss of historic cultural heritage significance.
ENG 1B - Development Engineering - Protection of Council Assets Any damage to council infrastructure resulting from the implementation of this permit, must, at the discretion of the Council: 1. Be met by the owner by way of reimbursement (cost of repair and reinstatement to be paid by the owner to the Council); or 2. Be repaired and reinstated by the owner to the satisfaction of the Council. A photographic record of the Council's infrastructure adjacent to the subject site must be provided to the Council prior to any commencement of works. A photographic record of the Council’s infrastructure (e.g. existing property service connection points, roads, buildings, stormwater, footpaths, driveway crossovers and nature strips, including if any, pre-existing damage) will be relied upon to establish the extent of damage caused to the Council’s infrastructure during construction. In the event that the owner/developer fails to provide to the Council a photographic record of the Council’s infrastructure, then any damage to the Council's infrastructure found on completion of works will be deemed to be the responsibility of the owner. Reason for condition To ensure that any of the Council's infrastructure and/or site-related service connections affected by the proposal will be altered and/or reinstated at the owner’s full cost. ADVICE
The following advice is provided to you to assist in the implementation of the planning permit that has been issued subject to the conditions above. The advice is not exhaustive and you must inform yourself of any other legislation, by-laws, regulations, codes or standards that will apply to your development under which you may need to obtain an approval. Visit the Council's website for further information.
Prior to any commencement of work on the site or commencement of use the following additional permits/approval may be required from the Hobart City Council.
BUILDING PERMIT
You may need building approval in accordance with the Building Act 2016. Click here for more information.
This is a Discretionary Planning Permit issued in accordance with section 57 of the Land Use Planning and Approvals Act 1993.
FEES AND CHARGES
Click here for information on the Council's fees and charges.
SIGNAGE
Illumination of signs 5 and 6 are not to cause loss of amenity.
|
Attachment a: PLN-HOB-2024-0636
- 479 Sandy Bay Road, Sandy Bay - Signage - Planning Assessment Report ⇩ ![]()
Attachment
b: PLN-HOB-2024-0636
- 479 SANDY BAY ROAD SANDY BAY TAS 7005 - CPC Agenda Documents ⇩
|
Item No. 6.2.1 |
Agenda (Open Portion) Planning Authority Committee Meeting - 22/1/2025 |
Page 1 ATTACHMENT a |



















|
Agenda (Open Portion) Planning Authority Committee Meeting - 22/1/2025 |
Page 1 ATTACHMENT b |








|
Agenda (Open Portion) Planning Authority Committee Meeting |
Page 1 |
|
|
|
22/1/2025 |
|
6.2.2 9 Star Street, Sandy Bay - Visitor Accommodation (12 Units)
Address: 9 Star Street, Sandy Bay
Proposal: Visitor Accommodation (12 Units)
Expiry Date: 31 January 2025
Extension of Time: Not applicable
Author: Adam Smee
|
REcommendation Pursuant to the Hobart Interim Planning Scheme 2015, the Council approve the application for Visitor Accommodation (12 Units) at 9 Star Street, Sandy Bay for the reasons outlined in the officer’s report and a permit containing the following conditions be issued:
GEN - General The use and/or development must be substantially in accordance with the documents and drawings that comprise PLN-HOB-2024-0046- Final Planning Documents except where modified below.
Visitor Accommodation Use The development is approved for use as visitor accommodation. Visitor accommodation is for the use of land for providing short- or medium-term accommodation, for persons away from their normal place of residence, on a commercial basis or otherwise available to the general public at no cost. Short- or medium-term accommodation is considered to be for a maximum of three months duration by any party. The development is not approved for residential use. Further planning approval would be required to for residential use of any part the development.
TW - General The use and/or development must comply with the requirements of TasWater as detailed in the form Submission to Planning Authority Notice, Reference No. TASWASPAN-HOB-2024-0058 dated 11/11/2024 as attached to the permit.
Visitor Accommodation Management Plan Prior to the commencement of the approved use, a management plan for the operation of the visitor accommodation must be submitted and approved as a condition endorsement, to the satisfaction of the Council's Director Strategic and Regulatory Services Network. The management plan must include measures to limit, manage and mitigate unreasonable impacts upon the amenity of long-term residents. These measures must include, but are not limited to, the following requirements: 1. To limit, manage, and mitigate noise generated as a result of the visitor accommodation. 2. To limit, manage, and mitigate behaviour issues caused as a result of the visitor accommodation. 3. To maintain the security of the building where the visitor accommodation would be located, including managing and/or limiting access to shared areas and facilities. 4. To specify the maximum permitted occupancy of the visitor accommodation. 5. To specify that guests must use the site for the parking of vehicles, the number of parking spaces available per accommodation unit, where the parking spaces are located, and how the spaces are to be accessed. Additionally, at the booking stage, guests should be discouraged from bringing more than one vehicle and the parking of any additional vehicles in nearby streets should also be discouraged. 6. To provide a name and contact phone number of a person who will respond to any complaints regarding behaviour of guests.
Once approved, the management plan must be implemented prior to the commencement of the approved use and must be maintained for as long as the visitor accommodation is in operation. The management plan must be provided to adjacent property owners and occupiers within 14 days of being approved. If the property is sold, the updated management plan (in accordance with 6, above) must be provided to adjacent property owners and occupiers within 10 business days of settlement.
ENG sw1 - Development Engineering - Stormwater All stormwater from the proposed development (including but not limited to: roofed areas, ag drains, surface swale drains, retaining wall ag drains and impervious surfaces such as driveways and paved areas) must be drained to the Council’s stormwater infrastructure prior to first occupation or commencement of use (whichever occurs first). The proposed private surface swale must drain to the lot connection up to 5% AEP events, with a safe overflow in 1% AEP events. Advice: Under section 23 of the Urban Drainage Act 2013 it is an offence for a property owner to direct stormwater onto a neighbouring property.
SW 1 - Stormwater - Protection of Hobart City Council Assets Prior to the issue of any approval under the Building Act 2016 or the commencement of work on the site (whichever occurs first), a pre-construction structural condition assessment and visual record (eg video and photos) of the Hobart City Council’s stormwater infrastructure within and adjacent to the proposed development must be submitted to the City of Hobart. The condition assessment must include at least: 1. a site plan clearly showing the location of the investigation, with access points and all segments and nodes shown and labelled, with assets found to have a different alignment from that shown on the City of Hobart’s plans to be marked on the ground and on the plan; 2. a digital recording of a CCTV inspection and written condition assessment report in accordance with WSA 05-2013 Conduit Inspection Reporting Code of Australia, in a 'Wincan’ compatible format; and 3. photos of any existing drainage structures connected to or modified as part of the development.
The pre-construction condition assessment will be relied upon to establish the extent of any damage caused to Hobart City Council’s stormwater infrastructure during construction. If the owner/developer fails to provide the City of Hobart with an adequate pre-construction condition assessment then any damage to the City of Hobart’s infrastructure identified in the post-construction condition assessment will be the responsibility of the owner/developer.
SW 2 - Stormwater - Protection of Hobart City Council Assets Prior to occupancy or the commencement of the approved use (whichever occurs first), a post-construction structural condition assessment and visual record (eg video and photos) of the Hobart City Council’s stormwater infrastructure within and adjacent to the proposed development must be submitted to the City of Hobart. The condition assessment must include at least: 1. a site plan clearly showing the location of the investigation, with access points and all segments and nodes shown and labelled, with assets found to have a different alignment from that shown on the City of Hobart’s plans shall be marked on the ground and on the plan; 2. a digital recording of a CCTV inspection and written condition assessment report in accordance with WSA 05-2013 Conduit Inspection Reporting Code of Australia, in a 'Wincan’ compatible format; and 3. photos of any existing drainage structures connected to or modified as part of the development.
The post-construction condition assessment will be relied upon to establish the extent of any damage caused to the Hobart City Council’s stormwater infrastructure during construction. If the owner/developer fails to provide the City of Hobart with an adequate pre-construction condition assessment then any damage to the Hobart City Council’s infrastructure identified in the post-construction CCTV will be deemed to be the responsibility of the owner/developer.
SW 3 - Stormwater - Protection of Hobart City Council Assets The proposed works, including cut/fill, road extension, stairs and retaining walls, must be designed to ensure the long-term protection of and access to the Council’s stormwater infrastructure. Prior to the issuing of any approval under the Building Act 2016 or commencement of works (whichever occurs first), a detailed design must be submitted and approved as a condition endorsement. The detailed design must be prepared by a suitably qualified expert and must: · Demonstrate how the design will maintain the overland flow path, provide adequate access to the main, impose no additional loads onto the main and that the structure will be fully independent of the pipes and its trenching. · Include cross-sections clearly showing the relationship both vertically and horizontally between Council’s stormwater infrastructure and the proposed works (including footings), and stating the minimum setbacks from the works to the nearest external surface of the main. · Include a long-section of Council's stormwater pipes clearly showing proposed cover. If the cover is less than 600mm, engineering details and full calculations to relevant Australian standards (including construction traffic loading) must be submitted to demonstrate the mains can withstand the likely forces and will be adequately protected. All assumptions must be stated. · Be certified by a suitably qualified engineer.
Prior to issue of any Certificate of Completion a suitably qualified engineer must confirm the installation of the works within two metres of Council’s stormwater main / construction of the retaining wall is in accordance with the approved drawings and complies with this condition. Should any remediation works be required, these must be carried out at the developer’s cost. All work required by this condition must be undertaken in accordance with the approved design. Advice: You will need specific permission from Council's Stormwater Unit under s73 of the Building Act 2016 and s13 of the Urban Drainage Act 2013 for the final certified detailed design plans. Once the detailed design drawings has been approved the Council will issue a condition endorsement (see general advice on how to obtain condition endorsement).
SW 6 - Stormwater - Design The new and amended public stormwater infrastructure must be designed and constructed prior to occupancy or the commencement of the approved use (whichever occurs first). Prior to the issuing of any approval under the Building Act 2016 or commencement of works (whichever occurs first), detailed engineering drawings must be submitted and approved as a condition endorsement. The detailed engineering drawings must be certified by a suitably qualified and experienced civil engineer and must: 1. be substantially in accordance with the Local Government Association of Tasmania: Tasmanian Municipal Standard Drawings (the version which applies at the time the relevant works), as varied by the City of Hobart’s published departures from those Drawings, and the Local Government Association of Tasmania, Tasmanian Subdivision Guidelines (October 2013); 2. clearly distinguish between public and private infrastructure; 3. detail the existing grated pit and proposed side entry pits, and their interaction with crossovers/ mountable kerb. Include sufficient design levels to demonstrate that the road (including extension) drains to the new pit, and excess flows will drain safely within the road reserve; 4. show in both plan and long-section the proposed/ amended stormwater mains, branches and connections, including but not limited to, connections, clearances, cover, gradients, levels, sizing, material, pipe class, adequate working platforms around manholes, easements and inspection openings; 5. the new lot connection must be constructed as free-flowing gravity and extend to a private IO; and 6. Council's piped infrastructure must be designed to capture future 5% AEP events. A safe overland flow path must be provided to convey all future 1% AEP events (including climate change).
All work required by this condition must be undertaken in accordance with the approved detailed engineering drawings. Advice: This condition requires further information to be submitted as a Condition Endorsement. Refer to the Condition Endorsement advice at the end of this permit. Please note that once the condition endorsement has been issued you will need to contact Council’s City Infrastructure and Assets Network to obtain a Permit to Construct Public Infrastructure. Council notes works within a private easement require consent of the beneficiaries under s74 of the Building Act 2016.
SW 8 - Stormwater - Design Prior to occupancy or the commencement of the approved use (whichever occurs first), stormwater pre-treatment for stormwater discharges from the development must be installed. A stormwater management report and design must be submitted and approved as a Condition Endorsement, prior to the issue of any approval under the Building Act 2016 or the commencement of work on the site (whichever occurs first). The stormwater management report and design must be prepared by a suitably qualified engineer and must either: 1. include detailed design of the proposed treatment train, including final estimations of contaminant removal meeting State Stormwater Strategy Targets and the supporting MUSIC model; and 2. include a supporting maintenance plan, which specifies the required maintenance measures to check and ensure the ongoing effective operation of all systems, such as: inspection frequency; cleanout procedures; descriptions and diagrams of how the installed systems operate; details of the life of assets and replacement requirements.
All work required by this condition must be undertaken and maintained in accordance with the approved stormwater management report and design. OR A cost estimate for the design, provision and installation of a system that meet the State Stormwater Strategy targets for the whole proposed development must be provided and agreed upon. A sum equivalent to the cost estimate is to be paid to the Council in accordance with Council's Stormwater Policy. If this option is selected the contribution must be paid prior to the issue of any approval under the Building Act 2016 or the commencement of work on the site (whichever occurs first). Payment of this contribution will be considered to meet the stormwater treatment requirements under the Hobart Interim Planning Scheme 2015. Advice: This condition requires further information to be submitted as a Condition Endorsement. Refer to the Condition Endorsement advice at the end of this permit. Please submit the MUSIC model in a MUSIC-X compatible format via email. Council notes a cost contribution avoids the ongoing costs of maintenance and may reduce excavation costs.
SW 9 - Stormwater - Design Prior to occupancy or the commencement of the approved use (whichever occurs first), detention for stormwater discharges from the development must be installed. A stormwater management report and design must be submitted and approved as a condition endorsement, prior to the issue of any approval under the Building Act 2016 or the commencement of work on the site (whichever occurs first). The stormwater management report and design must be prepared by a suitably qualified engineer and must: 1. include detailed design and supporting calculations of the detention tank showing:
a. detention tank sizing such that there is no increase in flows from the developed site up to 5% AEP event and no worsening of flooding; b. the layout, the inlet and outlet (including long section), outlet size, overflow mechanism and invert level; c. the discharge rates and emptying times; and d. all assumptions must be clearly stated.
2. include a supporting maintenance plan, which specifies the required maintenance measures to check and ensure the ongoing effective operation of all systems, such as: inspection frequency; cleanout procedures; descriptions and diagrams of how the installed systems operate; details of the life of assets and replacement requirements.
All work required by this condition must be undertaken and maintained in accordance with the approved stormwater management report and design. Advice: This condition requires further information to be submitted as a Condition Endorsement. Refer to the Condition Endorsement advice at the end of this permit.
ENG 1 - Development Engineering - Protection of Council Assets Any damage to council infrastructure resulting from the implementation of this permit, must, at the discretion of the Council: 1. Be met by the owner by way of reimbursement (cost of repair and reinstatement to be paid by the owner to the Council); or 2. Be repaired and reinstated by the owner to the satisfaction of the Council.
A photographic record of the Council's infrastructure adjacent to the subject site must be provided to the Council prior to any commencement of works. A photographic record of the Council’s infrastructure (e.g. existing property service connection points, roads, buildings, stormwater, footpaths, driveway crossovers and nature strips, including if any, pre-existing damage) will be relied upon to establish the extent of damage caused to the Council’s infrastructure during construction. In the event that the owner/developer fails to provide to the Council a photographic record of the Council’s infrastructure, then any damage to the Council's infrastructure found on completion of works will be deemed to be the responsibility of the owner.
ENG 2B - Development Engineering - Vehicle Barriers Further detailed designs are required for vehicle barriers where the drop from the edge of the trafficable area to a lower level is 600mm or greater. This documentation must be submitted and approved as a condition endorsement, prior to the issuing of any approval under the Building Act 2016. The detailed designs must: 1. be prepared and certified by a suitably qualified person,2. be in accordance with the Australian Standard AS/NZS 1170.1:2002, if possible; and 2. show dimensions, levels, gradients and transitions, and other details as Council deem necessary to satisfy the above requirement.
The vehicle barriers must be installed in accordance with the approved detailed designs prior to first occupation. Advice: This condition requires further information to be submitted as a Condition Endorsement. Refer to the Condition Endorsement advice at the end of this permit.
ENG 2C - Development Engineering - Vehicle Barriers Prior to the first occupation, a suitably qualified person must certify that the vehicle barriers have been installed in accordance design drawings approved by condition ENG 2B. Advice: An example certificate is available on our website.
ENG 3B - Development Engineering - Parking and Access Design Prior to commencement of work(s) (including demolition and site disturbance) for the driveway and parking areas, a detailed design of the driveway and parking area must be submitted and approved as a Condition Endorsement. The detailed designs must: 1. be prepared and certified by a suitably qualified engineer; 2. be in accordance with the Australian Standard AS/NZS 2890.1:2004, if possible; 3. where the design deviates from AS/NZS 2890.1:2004 the designer must demonstrate that the design will provide a safe and efficient access, and enable safe, easy and efficient use; and 4. show dimensions, levels, gradients, and transitions; and other details as Council deem necessary to satisfy the above requirement.
The access driveway and parking area must be constructed in accordance with the approved detailed designs prior to first occupation.
ENG 3C - Development Engineering - Parking and Access Design Prior to the first occupation, a suitably qualified engineer must certify that the access driveway and parking area has been constructed in accordance with design drawings approved by condition ENG 3B. Advice: Council strongly encourages you to speak to your engineer before works begin so that you can discuss the number and nature of the inspections they will need to do during the works in order to provide this certification. It may be necessary for a surveyor to also be engaged to ensure that the driveway will be constructed as approved. The reason this condition has been imposed as part of your planning permit is that the driveway is outside the Australian Standard gradients or design parameters. If the driveway is not constructed as it has been approved then this may mean that the driveway will either be unsafe or will not function properly. An example certificate is available on our website.
ENG 4 - Development Engineering - Parking and Access Design The access driveway and parking module (car parking spaces, aisles and manoeuvring area) approved by this permit must be constructed to a sealed standard (spray seal, asphalt, concrete, pavers or equivalent Council approved) and surface drained to the Council's stormwater infrastructure prior to first occupation.
ENG 5 - Development Engineering - Parking and Access Design The number of car parking spaces approved on the site is twelve (12). All parking spaces must be delineated by means of white or yellow lines 80mm to 100mm wide, or white or yellow pavement markers in accordance with Australian Standards AS/NZS 2890.1 2004, prior to first occupation.
ENG 13 - Development Engineering - Subdivision Services An ongoing waste management plan for all domestic waste and recycling must be implemented post construction. A waste management plan must be submitted and approved as a Condition Endorsement, prior to commencement of work on the site. A waste management plan must specify: 1. The quantity, type (i.e. colour), and unit volume, of bins, including waste generation and supporting calculations; 2. The method of collection; 3. The time of day of collection; 4. The frequency of collection; 5. Access for vehicles to bin storage areas, including consideration of gradient, sight lines, manoeuvring, direction of vehicle movement, and pedestrian access; 6. Distance from collection vehicle stopping point to bins if not collected on site; 7. Relevant standards and compliance, including ventilation, washing and vermin protection, and noise reduction; 8. The traffic volume, geometry, and gradient of the street; the volume of pedestrians using the street, and whether it is a pedestrian priority street; 9. Confirmation from a private waste collection company willing and able to meet the waste management plan's requirements; 10. Signage.
All work required by this condition must be undertaken in accordance with the approved waste management plan. Advice: This condition requires further information to be submitted as a Condition Endorsement. Refer to the Condition Endorsement advice at the end of this permit.
ENG Tr2 - Development Engineering - Subdivision Services A construction traffic and parking management plan must be implemented prior to the commencement of work on the site (including demolition). The construction traffic (including cars, public transport vehicles, service vehicles, pedestrians and cyclists) and parking management plan must be submitted and approved as a Condition Endorsement, prior to commencement work (including demolition). The construction traffic and parking management plan must: 1. Be prepared by a suitably qualified person. 2. Develop a communications plan to advise the wider community of the traffic and parking impacts during construction. 3. Include a start date and finish dates of various stages of works. 4. Include times that trucks and other traffic associated with the works will be allowed to operate. 5. Nominate a superintendent to be responsible for the implementation of the approved traffic management plan and available as a direct contact to Council and/or members of the community regarding day-to-day construction traffic operations at the site, including any immediate traffic issues or hazards that may arise.
All work required by this condition must be undertaken in accordance with the approved construction traffic and parking management plan. Advice: This condition requires further information to be submitted as a Condition Endorsement. Refer to the Condition Endorsement advice at the end of this permit.
ENV 2 - Environmental Planning - Soil Water Management Plan Sediment and erosion control measures, sufficient to prevent sediment from leaving the site and in accordance with an approved soil and water management plan (SWMP), must be installed prior to the commencement of work and maintained until such time as all disturbed areas have been stabilised and/or restored or sealed to the Council’s satisfaction. A SWMP must be submitted and approved as a Condition Endorsement prior to the issue of any approval under the Building Act 2016 or the commencement of work, whichever occurs first. The SWMP must be prepared in accordance with the Erosion and Sediment Control, The Fundamentals for Development in Tasmania and associated guideline documents (TEER & DEP, 2023), available from the Derwent Estuary Program’s website. If the site or controls change, an updated SWMP must be submitted. All work required by this condition must be undertaken in accordance with the approved SWMP. Advice: This condition requires further information to be submitted as a Condition Endorsement. Refer to the Condition Endorsement advice at the end of this permit.
Retaining Wall Detailed Design Prior to the commencement of works and prior to the issue of building approval, the detailed design of the retaining wall at the rear of the site must be submitted and approved as a condition endorsement. The detailed design must be accompanied by the written endorsement of a suitably qualified geotechnical professional endorsing the design as being consistent with the recommendations of the Slope Stability Assessment by Geo-Environmental Solutions dated July 2018, including the recommended further investigation and testing. The approved detailed design must be implemented. Advice: This condition requires further information to be submitted as a Condition Endorsement. Refer to the Condition Endorsement advice at the end of this permit.
Rockfall Management Plan Prior to the commencement of works and prior to the issue of building approval, a Rockfall Management Plan, prepared by a suitably qualified person, must be submitted and approved as a condition endorsement. The Rockfall Management Plan must be sufficient to ensure that any cobbles, boulders, or other rocks liberated during the development (particularly excavation works) are contained on the site and will not present an unacceptable safety risk to workers or the public. The Rockfall Management Plan must be informed by the Slope Stability Assessment by Geo-Environmental Solutions dated July 2018. The approved Rockfall Management Plan must be implemented. Advice: This condition requires further information to be submitted as a Condition Endorsement. Refer to the Condition Endorsement advice at the end of this permit ADVICE The following advice is provided to you to assist in the implementation of the planning permit that has been issued subject to the conditions above. The advice is not exhaustive and you must inform yourself of any other legislation, bylaws, regulations, codes or standards that will apply to your development under which you may need to obtain an approval. Visit the Council's website for further information. Prior to any commencement of work on the site or commencement of use the following additional permits/approval may be required from the Hobart City Council. CONDITION ENDORSEMENT If any condition requires that further documents are submitted and approved, you will need to submit the relevant documentation to satisfy the condition via the Condition Endorsement Submission through PlanBuild. Detailed instructions can be found here. Once approved, the Council will respond to you via PlanBuild that the condition has been endorsed (satisfied). Where building approval is also required, it is recommended that documentation for condition endorsement be submitted well before submitting documentation for building approval. Failure to address condition endorsement requirements prior to submitting for building approval may result in unexpected delays. Fees for Condition Endorsement are set out in Council’s Fees and Charges. BUILDING APPROVAL You may need building approval in accordance with the Building Act 2016. Click here for more information. This is a Discretionary Planning Permit issued in accordance with section 57 of the Land Use Planning and Approvals Act 1993. PLUMBING APPROVAL You may need plumbing approval in accordance with the Building Act 2016, Building Regulations 2016, and the National Construction Code. Click here for more information. FEES AND CHARGES Click here for information on the Council's fees and charges. BEFORE YOU DIG Click here for before you dig information. VISITOR ACCOMMODATION More information on visitor accommodation, including when building approval is required, can be found here. In all cases, check with your insurance company that you have adequate cover. If you have a spa or a pool at your property then you are required to test for microbiological quality and chemical parameters on a monthly basis, under the Public Health Act 1997. If you have any questions about this then please call our Environmental Health Group on 6238 2711. If you are providing food for consumption on the property, you may require a food business registration in accordance with the Food Act 2003. Click here for more information, or call our Environmental Health Group on 6238 2711. Visitor accommodation is also considered to be a commercial use and also not eligible to residential parking permits. Under the current policy for the issuing of residential parking permits, the proposed change of use to visitor accommodation would not entitle the property to a residential parking permit, or a transferable “bed and breakfast” parking permit. WORKS INVOLVING OR IN PROXIMITY OF EXISTING DRAINS It is proposed to build a portion of the stairs for the proposed building within 1 m of the sewer connection drain for 7 Star Street that runs through the Drainage Easement 3.00 m wide on Sealed Plan 17030. Section 73 of the Building Act 2016 requires that a person must not perform any building work over an existing drain or within one metre from the edge of an existing drain measured horizontally, unless the owner of the building obtains written consent from the general manager of the council for the municipal area where the work is performed.
|
Attachment
a: PLN-24-46
- 9 Star Street Sandy Bay - Visitor Accommodation (12 Units) - Planners Report ⇩ ![]()
Attachment
b: PLN-24-46
- 9 STAR STREET SANDY BAY TAS 7005 - Agenda Documents
⇩
|
Item No. 6.2.2 |
Agenda (Open Portion) Planning Authority Committee Meeting - 22/1/2025 |
Page 1 ATTACHMENT a |



































|
Agenda (Open Portion) Planning Authority Committee Meeting - 22/1/2025 |
Page 1 ATTACHMENT b |












|
Agenda (Open Portion) Planning Authority Committee Meeting |
Page 1 |
|
|
|
22/1/2025 |
|
7. Reports
7.1 Delegated Decisions Report (Planning)
Report of the Director Strategic and Regulatory Services of 15 January 2025 and attachment.
Delegation: Committee
|
Item No. 7.1 |
Agenda (Open Portion) Planning Authority Committee Meeting |
Page 1 |
|
|
22/1/2025 |
|
Memorandum: Planning Authority Committee
Delegated Decisions Report (Planning)
Attached is the Delegated Planning Decision Report for the period 28 November 2024 to 13 January 2025.
|
That the information contained in the ‘Planning Delegated Decision Report’ be received and noted.
|
As signatory to this report, I certify that, pursuant to Section 55(1) of the Local Government Act 1993, I hold no interest, as referred to in Section 49 of the Local Government Act 1993, in matters contained in this report.
|
Neil Noye Director Strategic and Regulatory Services |
|
Date: 15 January 2025
File Reference: F25/3127
Attachment a: Planning
- Delegated Decision Report ⇩
|
Item No. 7.1 |
Agenda (Open Portion) Planning Authority Committee Meeting - 22/1/2025 |
Page 1 ATTACHMENT a |




|
Agenda (Open Portion) Planning Authority Committee Meeting |
Page 1 |
|
|
|
22/1/2025 |
|
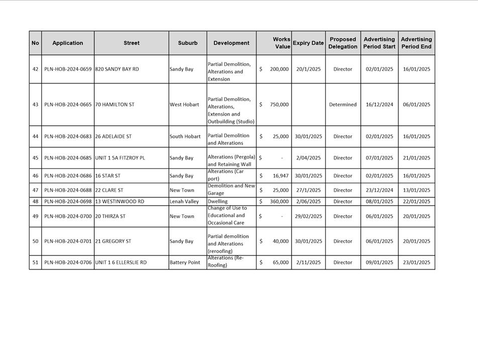
7.2 Planning Advertising Report
Report of the Director Strategic and Regulatory Services of 15 January 2025 and attachment.
Delegation: Committee
|
Item No. 7.2 |
Agenda (Open Portion) Planning Authority Committee Meeting |
Page 1 |
|
|
22/1/2025 |
|

Memorandum: Planning Authority Committee
Planning Advertising Report
Attached is the Planning Advertising Report for the period 28 November 2024 to 13 January 2025.
|
That the information contained in the ‘Planning Advertised Report’ be received and noted.
|
As signatory to this report, I certify that, pursuant to Section 55(1) of the Local Government Act 1993, I hold no interest, as referred to in Section 49 of the Local Government Act 1993, in matters contained in this report.
|
Neil Noye Director Strategic and Regulatory Services |
|
Date: 15 January 2025
File Reference: F25/3444
Attachment a: Planning
- Advertising Report ⇩
|
Item No. 7.2 |
Agenda (Open Portion) Planning Authority Committee Meeting - 22/1/2025 |
Page 1 ATTACHMENT a |




|
Agenda (Open Portion) Planning Authority Committee Meeting |
Page 1 |
|
|
|
22/1/2025 |
|
Regulation 29(3) Local Government
(Meeting Procedures) Regulations 2015.
File Ref: 13-1-10
The Chief Executive Officer reports:-
“In accordance with the procedures approved in respect to Questions Without Notice, the following responses to questions taken on notice are provided to the Committee for information.
The Committee is reminded that in accordance with Regulation 29(3) of the Local Government (Meeting Procedures) Regulations 2015, the Chairman is not to allow discussion or debate on either the question or the response.”
8.1 Planning Committee - 28 August 2024
File Ref: F24/86160; 13-1-10
Report of the Deputy Director Strategic and Regulatory Services of 22 January 2025.
8.2 Sandy Bay Campus Re-Zoning
File Ref: F24/109709
Report of the Director Strategic and Regulatory Services of 22 January 2025.
|
That the information be received and noted.
|
Delegation: Committee
|
Item No. 8.1 |
Agenda (Open Portion) Planning Authority Committee Meeting |
Page 1 |
|
|
22/1/2025 |
|
memorandum: Lord
Mayor
Deputy lord Mayor
Elected members
Planning Committee - 28 August 2024
|
Meeting: Planning Committee
|
Meeting date: 11 September 2024
|
|
Raised by: Councillor Lohberger |
|
Question:
Can the Acting Director advise the availability and non-availability of Elected Members for the scheduled Planning Committee meeting on 28 August 2024?
Response:
After receiving seven apologies for the meeting scheduled for 28 August 2024 the decision was made to reschedule the meeting. The availability or non-availability of the remaining five elected members was not confirmed given a quorum could not be achieved.
As signatory to this report, I certify that, pursuant to Section 55(1) of the Local Government Act 1993, I hold no interest, as referred to in Section 49 of the Local Government Act 1993, in matters contained in this report.
|
Karen Abey Deputy Director Strategic and Regulatory Services |
|
Date: 23 December 2024
File Reference: F24/86160; 13-1-10
|
Item No. 8.2 |
Agenda (Open Portion) Planning Authority Committee Meeting |
Page 1 |
|
|
22/1/2025 |
|
memorandum: Lord
Mayor
Deputy lord Mayor
Elected members
Sandy Bay Campus Re-Zoning
|
Meeting: Planning Authority Committee
|
Meeting date: 4 December 2024
|
|
Raised by: Councillor Lohberger |
|
Question:
Given the difficult geotechnical and access issues that exist in the two sections of the Sandy Bay campus that are now proposed to be rezoned as inner residential, can the Deputy Director advise if the Council believes that inner residential is an appropriate zone for that land?
Response:
The Mount Nelson and Sandy Bay Discussion Paper identified the upper areas of the Campus for sensitive and staged urban renewal noting there is substantial existing built form in this area. Any potential future infill development has to consider the risks caused by natural constraints such as topography, riverine flooding, bushfire, and respect environmentally vulnerable and habitat areas. Access design would also need to meet Planning Scheme requirements and other statutory requirements.
It is noted that the Government is currently pursuing legislation that may result in zoning changes for the upper areas of the Campus, however, any proposed zoning changes would normally go through a planning scheme amendment process allowing wider public and Elector Member engagement and comment. We had intended to finish developing the neighbourhood plan prior to undertaking any potential planning scheme amendments so the current situation is out of step with Council’s normal strategic land use review processes.
In terms of the suitability of the Inner Residential zone over the area identified in the bill, it is worth noting, to address housing shortages and an aging population, that the desired infill housing typology for Sandy Bay has been identified in the Discussion paper as medium density housing. Well-considered medium density infill buildings can contribute to the established character while meeting the needs for future residents with specific examples provided in the Discussion paper. In this context, the Inner Residential zone is potentially appropriate, however we stress that it’s our preference that the Mount Nelson and Sandy Bay Neighbourhood Plan process is allowed to continue so these ideas can be further explored with the community.
As signatory to this report, I certify that, pursuant to Section 55(1) of the Local Government Act 1993, I hold no interest, as referred to in Section 49 of the Local Government Act 1993, in matters contained in this report.
|
Neil Noye Director Strategic and Regulatory Services |
|
Date: 23 December 2024
File Reference: F24/109709
|
|
Agenda (Open Portion) Planning Authority Committee Meeting |
Page 1 |
|
|
22/1/2025 |
|
Regulation 29 of the Local Government (Meeting Procedures) Regulations 2015.
File Ref: 13-1-10
(1) A councillor at a meeting may ask a question without notice –
(a) of the chairperson; or
(b) through the chairperson, of –
(i) another councillor; or
(ii) the general manager.
(2) In putting a question without notice at a meeting, a councillor must not –
(a) offer an argument or opinion; or
(b) draw any inferences or make any imputations – except so far as may be necessary to explain the question.
(3) The chairperson of a meeting must not permit any debate of a question
without notice or its answer.
(4) The chairperson, councillor or general manager who is asked a question
without notice at a meeting may decline to answer the question.
(5) The chairperson of a meeting may refuse to accept a question without
notice if it does not relate to the activities of the council.
(6) Questions without notice, and any answers to those questions, are not
required to be recorded in the minutes of the meeting.
(7) The chairperson of a meeting may require a councillor to put a question
without notice in writing.
|
|
Agenda (Open Portion) Planning Authority Committee Meeting |
Page 1 |
|
|
22/1/2025 |
|